
피부에 재생과 항산화를 전달하는 차세대 원료
HyExoLac-PDRN
- #피부재생
- #항산화
- #보습
원료 한 눈에 보기

원료
Hybrid Exosome, PDRN
주요 효능 및 특징
피부재생, 항산화, 보습
인증/수상
NMPA 등록
기능 원료
Functional Ingredient
락토바실러스발효용해물
Lactobacillus Ferment Lysate
세포에서 분비하는 세포막으로 둘러쌓인 소포체로, 세포간 의사소통 역할을 함. 모공보다 100배~1000배 이상 작아 피부 내 흡수율이 높음.
소듐디엔에이
Sodium DNA
인간 DNA와 구조적으로 유사하며 세포의 A2A receptor를 활성화시켜 조직 재생과 상처치유에 우수한 효과를 보임.
연구 및 제품 인증
Research & Certification
| ECOCERT | In vitro | ||
| COSMOS APPROVED | In vivo | ||
| COSMOS CERTIFIED | 논문 | ||
| NMPA & IECIC | 특허 | ||
| VEGAN(Vegan Society) | 수상 |
기본설명

- Hybrid Exosome은 생체적합성, 흡수, 전달, 조절의 기능을 갖는 엑소좀에 PDRN을 탑재하여 피부 깊숙이 전달될 수 있도록 설계되었습니다.
- Salmon PDRN은 연어에서 추출한 DNA 조각으로, 손상된 조직의 재생을 촉진하는데에 의약품, 의료기기로써 이용되어 왔습니다.
- HyExoLac-PDRN이 전달하는 재생과 항산화 효과로, 피부에 새로운 힘을 부여할 수 있습니다.
제품특징

HyExoLac-PDRN의 효능
-
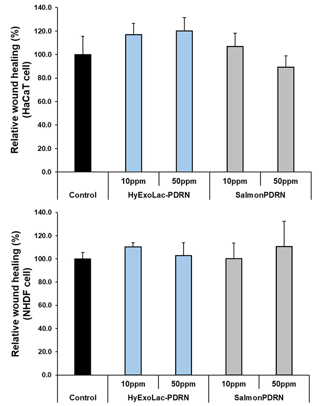
재생 효과손상된 조직을 복구하고, 세포외 기질 합성을 촉진하여 피부 재생을 유도하도록 표피 각직세포와 진피 섬유아세포 증식을 촉진하여 뛰어난 재생 효과를 기대할 수 있습니다.
-
항산화 효과세포막 산화, 노화, DNA 변형 등을 야기하는 자유 라디칼 소거능력을 확인할 수 있는 DPPH를 측정함으로써 항산화 효능이 있음을 확인하였습니다.
-
보습 효과피부 내 히알루론산 생성능을 증가시켜 피부의 보습이 유지될 수 있도록 합니다.
[Mechanism of Action]
[HyExoLac-PDRN의 재생 효과]
→ 동일 농도의 PDRN 대비 더 우수한 재생 효과가 있음을 확인했습니다.
[HyExoLac-PDRN의 피부 투과도]
→ 형광 현미경 분석 결과, HyExoLac-PDRN이 피부 각 층에 걸쳐 분포하는 모습을 확인했습니다. 이 결과는 HyExoLac-PDRN이 피부 막을 통과하여 침투할 수 있음을 시사합니다
HyExoLac-PDRN의 전성분
| INCI NAME | 한글명(관용명) | 효능 |
|---|---|---|
| Mannitol | 만니톨 | 보습컨디셔닝 |
| Lactobacillus Ferment Lysate | 락토바실러스발효용해물 | 보습, 항노화 |
| Sodium DNA | 소듐디엔에이 | 재생 |
사용방법

| INCI | Mannitol, Lactobacillus Ferment Lysate, Sodium DNA |
|---|---|
| 권장사용량 | 제형에 따라 0.05 ~ 0.5%까지 사용가능합니다. |
| 제조가이드 | 유화제품: 유화 후 50℃에 후첨한 후 혼합하여 사용하시기 바랍니다. 가용화제품: 가용화 후에 후첨하여 충분한 시간 교반하여 혼합 및 용해하여 사용하시기 바랍니다. (필요 시 수상에 사용가능하나 수상에 용해되는지 먼저 확인하여 주시기 바랍니다. 수상에 완전히 녹이고자 할 경우, 온도를 50℃ 이상으로 유지하고 충분히 가온하여 녹인 후 가용화 진행하여 주시기 바랍니다.) 세정제품: 세정제 투입 후 후첨한 후 혼합하여 사용해주시기 바랍니다. |
| 보관 및 유통기한 | 본 제품은 용기를 밀폐하여 건조하고 통풍이 잘되는 시원한 곳에 보관해 주십시오. 권장 유통기간은 개봉 전 3년입니다. |
| 규격·성상 | 파우더 |
| 취 | 특이취 |
| 용해도 | 수용성 |
| 중금속 | 10ppm이하 |
| 미생물 | 1g당 100CFU |
제품 생산 과정 한눈에 보기

안전하고 우수한 품질의 제품을 제공하기 위해 바이오스펙트럼은 2회에 걸쳐 QC (Quality Control, 품질관리) Test를 진행하고 있습니다.
배송안내
택배:
주문 및 결제 12시 전까지 완료 -> 당일 발송, 1~2일내 도착
(주문을 12시 전에 하셨어도, 결제가 12시 전까지 이뤄지지 않을 경우, 당일 발송이 어려울 수 있습니다.
(주문을 12시 전에 하셨어도, 결제가 12시 전까지 이뤄지지 않을 경우, 당일 발송이 어려울 수 있습니다.
용달(용달차):
주문 및 결제 16시 전까지 완료 -> 익일 발송
200KG 이상의 대량 주문 시에는 용차 이용이 가능합니다. 용차는 16시 전에 요청하시면 익일 발송이 가능합니다.
200KG 이상의 대량 주문 시에는 용차 이용이 가능합니다. 용차는 16시 전에 요청하시면 익일 발송이 가능합니다.
배송소요시간:
발송 후 택배사에 따라 2~3일 소요됩니다.
※ 주소 및 연락처를 잘못 기재하시면 추가 배송비(5,000원)이 발생하니 주문 전 배송 정보를 다시 한번 확인 후 기재해 주시기 바랍니다.
※ 주소 및 연락처를 잘못 기재하시면 추가 배송비(5,000원)이 발생하니 주문 전 배송 정보를 다시 한번 확인 후 기재해 주시기 바랍니다.
재고미보유시:
미보유 제품도 주문 가능합니다. 주문요청 후 생산 완료까지 21일(공휴일제외)이 소요되며 생산완료 후 바로 배송 처리되니 미보유 제품이라도 주문 가능합니다.
원자재 부족의 경우는 상세일정을 따로 알려드리고 협의하여 생산/공급을 진행합니다.
원자재 부족의 경우는 상세일정을 따로 알려드리고 협의하여 생산/공급을 진행합니다.
본 자료의 저작권은 바이오스펙트럼㈜에 있으며, 무단 수정 및 배포를 금합니다.
※ 본 제품은 화장품 완제품이 아닌 원료(원자재)로써, 적법한 가공 과정 없이 화장품, 의약품, 식품으로 직접 사용할 수 없습니다.
구매한 제품의 사용은 국내 생산에 한정이며, 해외로 직접 수출할 수 없습니다.
구매한 제품의 사용은 국내 생산에 한정이며, 해외로 직접 수출할 수 없습니다.
상품리뷰
배송 / 교환 / 환불 안내
SHOPPING GUIDE
배송안내
배송비:
5만원이상 무료배송
배송마감:
재고가 있는 제품의 경우 당일 기준 오전 12시까지 주문접수 및 입금완료 된 건에 한하여 당일 출고되며 오전 12시 이후 주문 건은 입금 완료 기준 날짜로 출고 처리됩니다.
(주문을 12시 전에 하셨어도, 결제가 12시 전까지 이뤄지지 않을 경우, 당일 출고가 어려울 수 있습니다)
(주문을 12시 전에 하셨어도, 결제가 12시 전까지 이뤄지지 않을 경우, 당일 출고가 어려울 수 있습니다)
배송소요시간:
발송 후 택배사에 따라 2~3일 소요됩니다.
※ 주소 및 연락처를 잘못 기재하시면 추가 배송비(5,000원)이 발생하니 주문 전 배송 정보를 다시 한번 확인 후 기재해 주시기 바랍니다.
※ 주소 및 연락처를 잘못 기재하시면 추가 배송비(5,000원)이 발생하니 주문 전 배송 정보를 다시 한번 확인 후 기재해 주시기 바랍니다.
배송사:
합동택배
용차:
주문 및 결제 16시 전까지 완료 -> 익일 발송
200KG 이상의 대량 주문 시에는 용차 이용이 가능합니다. 용차는 16시 전에 요청하시면 익일 발송이 가능합니다.
200KG 이상의 대량 주문 시에는 용차 이용이 가능합니다. 용차는 16시 전에 요청하시면 익일 발송이 가능합니다.
재고미보유시:
미보유 제품도 주문 가능합니다. 주문요청 후 생산 완료까지 21일(공휴일제외)이 소요되며 생산완료 후 바로 배송 처리되니 미보유 제품이라도 주문 가능합니다.
원자재 부족의 경우는 상세일정을 따로 알려드리고 협의하여 생산/공급을 진행합니다.
원자재 부족의 경우는 상세일정을 따로 알려드리고 협의하여 생산/공급을 진행합니다.
반품/교환/환불 안내
제품 이상시:
판매 후 1년 이내 제품에 이상 발생 시, 제품의 반품/환불 또는 교환을 해드리며 이 때 발생하는 배송비(회수 및 재배송 비용)는 바이오스펙트럼(주)에서 전액 부담합니다.
제품 이상에 따른 교환 요청 시 제품의 중량 및 수량을 변경하실 수 있으며, 타제품으로의 교환도 가능합니다. 이때, 고객님께서 이미 지불하신 금액과 변경 하실 제품의 가격 차액에 대해 추가 지불요청 또는 환불해드립니다.
단, 사용자 보관 과실에 따른 이상 발생 시 제품의 반품/환불 및 교환이 불가합니다.
제품 이상에 따른 교환 요청 시 제품의 중량 및 수량을 변경하실 수 있으며, 타제품으로의 교환도 가능합니다. 이때, 고객님께서 이미 지불하신 금액과 변경 하실 제품의 가격 차액에 대해 추가 지불요청 또는 환불해드립니다.
단, 사용자 보관 과실에 따른 이상 발생 시 제품의 반품/환불 및 교환이 불가합니다.
고객변심:
고객님의 변심에 따른 반품/환불 및 교환의 경우 이미 발생한 배송비(총구매액과 관계없이 이미 발생한 총배송비)와 제품 회수 및 재배송에 드는 비용을 고객님이 부담하셔야 합니다.
고객센터
배송처:
바이오스펙트럼
연락처:
031-698-3122, 내선: 314
배송비:
(구매자귀책) 왕복 5,000원
반송주소:
경기도 오산시 가장산업서북로 40-53
※ 반품 및 교환은 제품용량에 따라 반송 주소가 다르니 꼭 고객센터로 연락 후 반품해 주시기 바랍니다.








